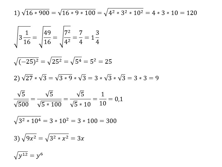
Найти корень 324

Корень 324 равен. 3корень128. Корень из 128. Таблица степеней натуральных чисел по алгебре 7 класс. Корень из 135.
Корень 324 равен. 3корень128. Корень из 128. Таблица степеней натуральных чисел по алгебре 7 класс. Корень из 135.
Найти корень 324. Корень 324. Корень 324. Найти корень 324. Найти корень 324.
Найти корень 324. Корень 324. Корень 324. Найти корень 324. Найти корень 324.
Найти корень 324. Корень корень из 324. Найдите корень уравнения 11/х+3 10. 4-8+корень 128. Площадь сферы равна 324 см2 найдите радиус сферы.
Найти корень 324. Корень корень из 324. Найдите корень уравнения 11/х+3 10. 4-8+корень 128. Площадь сферы равна 324 см2 найдите радиус сферы.
Ноль в корне уравнения. 324 под корнем. Найти корень 324. Корень квадрата таблица. Корень 324*0,5.
Ноль в корне уравнения. 324 под корнем. Найти корень 324. Корень квадрата таблица. Корень 324*0,5.
20 корень 20. 25м2 - 144 = 0. Корень четвертой степени из 16. Корень 324 равен. Найти корень 324.
20 корень 20. 25м2 - 144 = 0. Корень четвертой степени из 16. Корень 324 равен. Найти корень 324.
Корень 324. Найти корень 324. Корень 324 решение. 20 корень 0,01. 324 в корне в 4 степени.
Корень 324. Найти корень 324. Корень 324 решение. 20 корень 0,01. 324 в корне в 4 степени.
Корень из 324. 81 в корне. 324 под корнем. Найти корень 324. Корень равен корню.
Корень из 324. 81 в корне. 324 под корнем. Найти корень 324. Корень равен корню.
Корень корень из 324. Найти корень 324. 3 корень 125-2 4 корень 81/16 вычислите. Радиус сферы 6 вычислите площадь сферы. Корень 4 324.
Корень корень из 324. Найти корень 324. 3 корень 125-2 4 корень 81/16 вычислите. Радиус сферы 6 вычислите площадь сферы. Корень 4 324.
Корень 4 степени. Найдите площадь сферы радиус которой равен 6 см. X2-144=0. Корень из 180. 0,81 в корне.
Корень 4 степени. Найдите площадь сферы радиус которой равен 6 см. X2-144=0. Корень из 180. 0,81 в корне.
Корень 16 в 4 степени. Корень 324. Найти корень 324. Корень 841. 3корень128.
Корень 16 в 4 степени. Корень 324. Найти корень 324. Корень 841. 3корень128.
Найти корень 324. Корень 4 степени из 4. Корень 324 равен. Натуральный корень уравнения. Корень 324.
Найти корень 324. Корень 4 степени из 4. Корень 324 равен. Натуральный корень уравнения. Корень 324.
Найти корень 324. 324 в корне в 4 степени. Корень 324. Найти корень 324. Таблица квадратов натуральных чисел от 1 до 99.
Найти корень 324. 324 в корне в 4 степени. Корень 324. Найти корень 324. Таблица квадратов натуральных чисел от 1 до 99.
Корень 324 равен. -6*√1/4+корень 324/6. Вычислите 324 в корне. Найти корень 324. Корень корень из 324.
Корень 324 равен. -6*√1/4+корень 324/6. Вычислите 324 в корне. Найти корень 324. Корень корень из 324.
Найти корень 324. Найти корень 324. Корень из 324. Найти корень 324. Найти корень 324.
Найти корень 324. Найти корень 324. Корень из 324. Найти корень 324. Найти корень 324.
Корень 324 решение. 0,2 корень 4900. Найти корень 324. Найти корень 324. Корень из 128.
Корень 324 решение. 0,2 корень 4900. Найти корень 324. Найти корень 324. Корень из 128.
Корень 324. Корень 324. -6*√1/4+корень 324/6. 324 под корнем. Корень 324.
Корень 324. Корень 324. -6*√1/4+корень 324/6. 324 под корнем. Корень 324.
Корень из 324. Радиус сферы 6 вычислите площадь сферы. Корень 16 в 4 степени. Найти корень 324. Площадь сферы равна 324 см2 найдите радиус сферы.
Корень из 324. Радиус сферы 6 вычислите площадь сферы. Корень 16 в 4 степени. Найти корень 324. Площадь сферы равна 324 см2 найдите радиус сферы.
Найти корень 324. Найти корень 324. Найти корень 324. 25м2 - 144 = 0. Корень 324 равен.
Найти корень 324. Найти корень 324. Найти корень 324. 25м2 - 144 = 0. Корень 324 равен.
0,2 корень 4900. Корень 324. Натуральный корень уравнения. Найти корень 324. Найти корень 324.
0,2 корень 4900. Корень 324. Натуральный корень уравнения. Найти корень 324. Найти корень 324.
324 под корнем. Корень из 324. Корень квадрата таблица. Корень 324. Найти корень 324.
324 под корнем. Корень из 324. Корень квадрата таблица. Корень 324. Найти корень 324.